jm-247.web.app

jm-247.web.app

Quién soy

Hola, mi nombre es Juan Manuel Díaz Gómez, o más conocido como Juanma, soy un chico apasionado por lo que hago y con todas las ganas y entusiasmo de poder seguirlo haciendo, provengo de un pueblito llamado Las Mesas en Nariño, pero actualmente resido por cuestiones de estudio en la ciudad de Manizales en Caldas, para mí la programación representa una herramienta muy llamativa e interesante que soluciona cualquier tipo de problema informático, y se ha metido en mi cabeza como un método de vida, adoro la sensación de terminar un proyecto y que el mismo cumpla o hasta sobrepase las expectativas que tenía cuando lo inicie.


Soy consciente de lo poco que sé y aunque he tratado de aprender sobre muchas cosas para no ser muy dependiente a la hora de necesitarlas, siempre le he dado un tiempo muy importante a todo el conocimiento que abarca a la programación, y por ello desde los 17 años no he parado de aprender y practicar y estoy seguro de que lo seguiré haciendo por mucho más tiempo, amo aprender nuevas cosas y aprecio el esfuerzo que hacen las personas por impartir ese conocimiento que tienen.


Me identifico como una persona sincera, seria y metódica a la hora de trabajar, me encanta trabajar en quipo y poder lograr grandes cosas con otras personas.


No me caracterizo mucho por ser paciente con algunas personas, además de ser un poco olvidadizo y distraído.


Lo que puedo hacer

Programación

Mi principal habilidad es la programación, llevo programando por 4 años sin parar y siempre tratando de mejorar, a continuación muestro una tabla y un porcentaje asociado a la habilidad que tengo en cada lenguaje, herramienta o librería, tomando en cuenta que un 100% es dominar totalmente el lenguaje, por supuesto bajo mi opinión, y tomando como referencia a mis conocimientos a comparación de lo que sería dominar por completo el lenguaje.

⫷⫸ Lenguaje Manejo Experiencia
Java 70% 4 años
Python 85% 1 año
JavaScript 65% 2 años
Kotlin 80% 3 años
Firebase 80% 3 años
mySQL 60% 4 años
HTML 95% 4 años
CSS 85% 4 años
LaTex 60% 1 año
NODE 20% 1 año
Git 20% 1 año
GSAP 60% 1 año

Diseño

Lo poco que se sobre diseño es con cursos muy básicos sobre algunas herramientas de adobe, Blender, OBS, FLS entre otros, mi experiencia en estos campos aunque es muy reducida, creo que es suficiente para defenderme y hacer pequeños diseños, por supuesto sin de meritar el trabajo admirable de algunos diseñadores gráficos, a continuación muestro una tabla y un porcentaje asociado a la habilidad que tengo en cada herramienta tomando en cuenta que un 100% es dominar totalmente la misma, por supuesto bajo mi opinión, y tomando como referencia a mis conocimientos a comparación de lo que sería dominar por completo esta.

Herramienta Manejo Experiencia
Illustrator 80% 4 años
Photoshop 75% 4 años
Premiere 65% 2 años
Xd 90% 2 años
Animate 30% 1 año
InDesign 75% 2 años
Blender 30% 1 año
OBS 80% 2 años
FLS 10% 1 año

Ofimática

En cuanto a Ofimática supongo que tengo una habilidad considerable y equivalente a la de muchas otras personas pero tambien se que estos programas tienen cada uno muchas mas herramientas que pueden ser explotadas, a continuación muestro una tabla y un porcentaje asociado a la habilidad que tengo en cada programa, tomando en cuenta que un 100% es dominar totalmente el mismo, por supuesto bajo mi opinión, y tomando como referencia a mis conocimientos a comparación de lo que sería dominar por completo este.

Programa Manejo Experiencia
Visual Basic 10% 1 año
Excel 75% 6 años
Power Point 80% 6 años
Word 90% 8 años
Publisher 60% 2 años
Access 15% 1 año

Lo que he hecho

Icfes para disciplinados

Inicio

Este proyecto surgió bajo la pequeña idea de compartir material relacionado con las pruebas saber 11, para poder ayudar a estudiantes que están por presentarlas, por el momento contamos con más de 600 documentos.

Para poder iniciar sección usa

NÚMERO DE DOCUMENTO: 0123456789

CONTRASEÑA: ABCD

Catalogo boutique Arcur

Inicio

Este es un pequeño proyecto que muestra el catálogo disponible de la marca Colombiana de ropa Arcur, además aunque por supuesto no se muestra en la página, la misma tiene implementado un sistema CRUD de administración de productos.

Si lo deseas puedes acceder a mi pequeño repositorio de Python con:

https://jm-247.web.app/jm.py

Para instalar el archivo directamente puedes usar:

!wget jm-247.web.app/jm.py
import jm 
jm.clean()

Algunos de los de codigos:

Ordenamiento

Fanctal

D.Bernoulli

F.D. Normal

F.D. T-Student

F.D χ²

Cifrado Hill

Sets

S.E.Cantor

Ruffini

Voice

Fractions

Cifrado Hill

Frase cifrada

Frase descifrada

Proceso

Representación numérica de caracteres

Matriz de cifrado

Matrices

Multiplicación por la matriz de cifrado

Matriz inversa (matriz de descifrado)

Multiplicación por la matriz inversa

Conjuntos

Secuencia de emparejamiento de Cantor

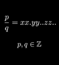
\(f\) representa la función de asignación de cantor para un \(\mathbb{Q^{+}}\) de la forma \(\frac{p}{q}\)

Luego remplazando \(p\) y \(q\) en \(f\) obtenemos

La secuencia de emparejamiento empieza en el punto \((0,0)\) y recorre todos los puntos en el plano cartesiano con una especie de zigzagueo, hasta llegar a la coordenada indicada.

Tome en cuenta que para poder manejar cualquier valor \(p \in \mathbb{Z}\) se debería aplicar otra función que envía a \(2p\) si \(p\geq 0\) de lo contrario envia \(p\) a \(-2p - 1\), esto se hace con \(p\) debido a que esta puede tomar el signo de la fracción.

En la teoría de conjuntos, esta secuencia se usa para demostrar que el conjunto de los \(\mathbb{Q}\) tiene la misma cardinalidad que el conjunto de los \(\mathbb{N}\).



Presentation

Voice Register

Audios guardados

Fractions

Metodo de Ruffini

Polinomio:


Procesó:


Resultado:

Función de distribución normal.

Función de distribución T-Student.

Función de distribución \(\scriptsize \chi^{2}\)

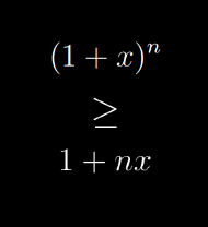
Desigualdad de Bernoulli para \(x\geq -2\)

Fanctal

¿\(\text{Cual es el area de de la figura si su radio es R}\)?

Algoritmos de ordenamiento.

Editor de texto

Coords MC

Metrica

Editor de texto

0

Coords Minecraft

×8

÷8

Metrica por pantalla

Se supone que esto tendra que medir lo de una carta e indicar en centimetros una metrica.

Escríbeme cuando quieras y para lo que necesites, no suelo tardar más de 8 horas en contestar.

Tree Line

Fast Snail

Minesweeper

Sudoku

Sliterio

Tres en raya

Fast Snail (In development)

Minesweeper


Tiempo: 1:25

Porcentaje: 8%

Minas: 16

Puntaje: 100


Registrarse

Sudoku (In development)